從WORD貼上網頁

 年化利率1.2%,房貸20年,每月繳款$20,000,問房貸總額?



現值

$4,265,556

=金流/利率*(1-(1+利率)^-期數)

利率

0.001

 

期數

240

 

金流

20000

 

函數現值

-$4,265,556

=PV(利率,期數,金流)

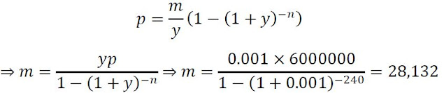
年化利率1.2%,房貸20年,貸款$5,000,000,問每月繳多少?



房貸金額

$28,132

=利率*6000000/(1-(1+利率)^-期數)

-$28,132

=PMT(利率,期數,6000000)

 

留言

這個網誌中的熱門文章

金三甲期末考重要題庫與額未加分作業

2025年12月衍生性金融商品作業

空頭價差多頭價差跨式勒式